The question of the beginning of life is often discussed ideologically today. There are two groups. Some say life begins at conception; others say it begins at birth. In the following, I will guide you through three thought experiments that provide a surprising answer.
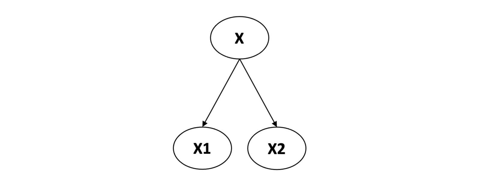
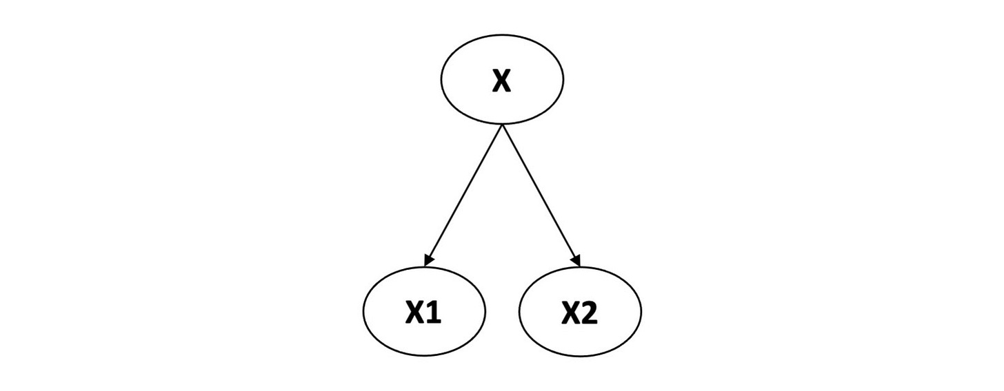
A cell is the smallest unit of life. Reproduction is one of the elementary behaviors of life. Imagine a cell X multiplying by division. Throughout the process, it remains one cell until the moment of physical separation, when it becomes two cells: X1 and X2.
Which of the following statements is true?
X died and X1 and X2 were born.
X lives on as X1 and X2 was born.
X lives on as X2 and X1 was born.
X lives on as both X1 and X2.
If the first statement is true, ie X died and X1 and X2 were born, X would have committed suicide by dividing. This contradicts the principle of life; and it would be absurd to choose the moment of separation as the death of X and the birth of X1 and X2. Any other time would also be absurd
If the second statement is true, why not the third – or vice versa? It would be arbitrary and, therefore, absurd to regard X1 or X2 as the continuation of X and the other cell as the child. Under unfavorable environmental conditions, an amoeba performs a multiple division that could produce hundreds of new cells. Here, determining which cell X lives on as would be even more absurd.
Therefore, the logical answer is that cell X lives on as both X1 and X2. X has two bodies after division. A cell reproduces by creating more and more bodies of or for itself. This is a very effective survival strategy because the cell survives even if some of its bodies are destroyed.
Next, we look at sexual reproduction. This involves the fusion of two cells, such as an egg and a sperm cell. When two cells X and Y fuse, they form a cell XY.
Which of the following statements is true?
X and Y died and XY was born.
X lives on in XY and Y has died.
Y lives on in XY and X has died.
Both X and Y live on as XY.
Every variant in which something dies contradicts the principle of life. Therefore, the fourth statement is true. X and Y both live on as XY.
After a division, a cell has two bodies. After a fusion, two cells have one body. These considerations can be applied to multicellular life forms such as plants, animals, and humans. See my book “Consciousness – Its Nature, Purpose, and How to Use It” for details.
The logic is crystal clear. Life is something other than bodies. Life is a phenomenon that expresses itself through bodies. Life does not die. Bodies die. Computers are a good analogy. They comprise hardware and software. Software can express itself through hardware. Some software runs on millions of pieces of hardware. Software does not die. Hardware dies. Are bodies hardware and is life software? No, it’s not that simple.
Software is a manifestation of know-how – the knowing of how to do something. For example, if I know how to solve a quadratic equation, I could write software that does it. This software would be a manifestation of my know-how.
Hardware is also a manifestation of know-how – the knowing of how to construct something so that it fulfills a certain function. A car, for example, is a manifestation of the knowing of how to construct a self-moving device – an auto-mobile.
Life forms are also manifestations of know-how – the knowing of how to survive. The body of a life form is a hardware of life; its behavioral programs are a software of life.
Let’s do a third thought experiment. For this, we travel back in time and observe the first cell in the history of planet Earth. We call it Celly.
Celly reproduces by dividing. After the first division, Celly has two bodies. Each body goes its own way and continues to reproduce. Soon Celly has four bodies, then eight, then sixteen. Let’s assume each body divides once a day. After ten days, Celly could have had 1024 bodies. But there are slightly fewer because some bodies were destroyed. They ended up in environments where they could not survive. After another ten days, Celly has about one hundred thousand bodies.
Another elementary behavior of life is what is usually called adaptation of behavioral programs to the environment. Therefore, the one hundred thousand bodies of Celly, living in one hundred thousand different environments, have different behavioral programs. Each body behaves in a way that suits its environment.
After another ten days, Celly has about five million bodies. Again, some bodies had died because they ended up in hostile environments. Others have died because the bodies use each other as food and, therefore, as a source of energy. Celly is its own food.
One day, one of Celly’s bodies divides as usual; but the two new bodies stay together and live as a team. They are the first multicellular life form; it too is a body of Celly.
After billions of years, Celly reaches the diversity of life on this planet as cells, plants, animals, and humans; and all are bodies of Celly.
Celly began a few billion years ago with one body and one behavioral program. Together, they were a manifestation of the know-how of that time on how to survive. This know-how grew through the experiences of Celly’s countless bodies. Each body had its own life story – and each enriched the know-how of survival.
So what is life? Life is a powerful, constantly growing know-how: the know-how of survival. It expresses itself through bodies. Life is neither born nor does it die. Bodies are born and die.
Where is this know-how – and, therefore, life? Know-how is made of the same fabric thoughts are made of. This fabric is pure information and not part of the physical universe. I describe it in my book on consciousness and in my article “There is More Than Just the Universe.”
So the answer to the question ‘When does life begin?’ is: Life began on this planet a few billion years ago. We observe the coming and going of bodies, each of which is one of billions and billions of aspects of this one global life. If you continue this train of thought, you realize that the entire universe is one gigantic form of life; everything in the universe is an aspect of this one universal life.
In my article “Intuition is Much More Than Just a Sixth Sense,” I describe an insight about life that supports and complements the perspective presented here
Finally, here are two exercises:
Exercise 1: Reflect on the fact that life is independent of bodies and that you are an expression of life – one of many. Consider what this insight means for your interactions with your environment.
Exercise 2: Reflect on the fact that you are both your mother and your father; and that you are all your children. Since your children are their children, you are also your grandchildren. And since each of your parents are (or were) their parents, you are also your four grandparents.
Further reading:
Book “Consciousness – Its Nature, Purpose, and How to Use It”
Article “There is More Than Just the Universe”
Article “Intuition is Much More Than Just a Sixth Sense”
“ So the answer to the question ‘When does life begin?’ is: Life began on this planet a few billion years ago. We observe the coming and going of bodies, each of which is one of billions and billions of aspects of this one global life. If you continue this line of thought, you realize that the entire universe is one gigantic form of life; everything in the universe is an aspect of this one universal life.”
.
Glad you expanded beyond earth 🌍 and Celly to include the uniVerse of solar system bodies.
That unFold into form then enFold out of form. All forms follow this order.
Sea urchins and star ⭐️ fish move toward food and away from predators without brains 🧠 as plants move toward water 💦 and nutrients with out brains.
Nature has a patterned awareness.
—> So the answer to the question ‘When does life begin?’ is: Life began on this planet a few billion years ago. We observe the coming and going of bodies, each of which is one of billions and billions of aspects of this one global life. If you continue this line of thought, you realize that the entire universe is one gigantic form of life; everything in the universe is an aspect of this one universal life.
Isn’t this the answer from the perspective of the universe (i.e., from separation)? From the perspective of EL, wouldn’t the answer be that life never began and will never die?